Этап 3
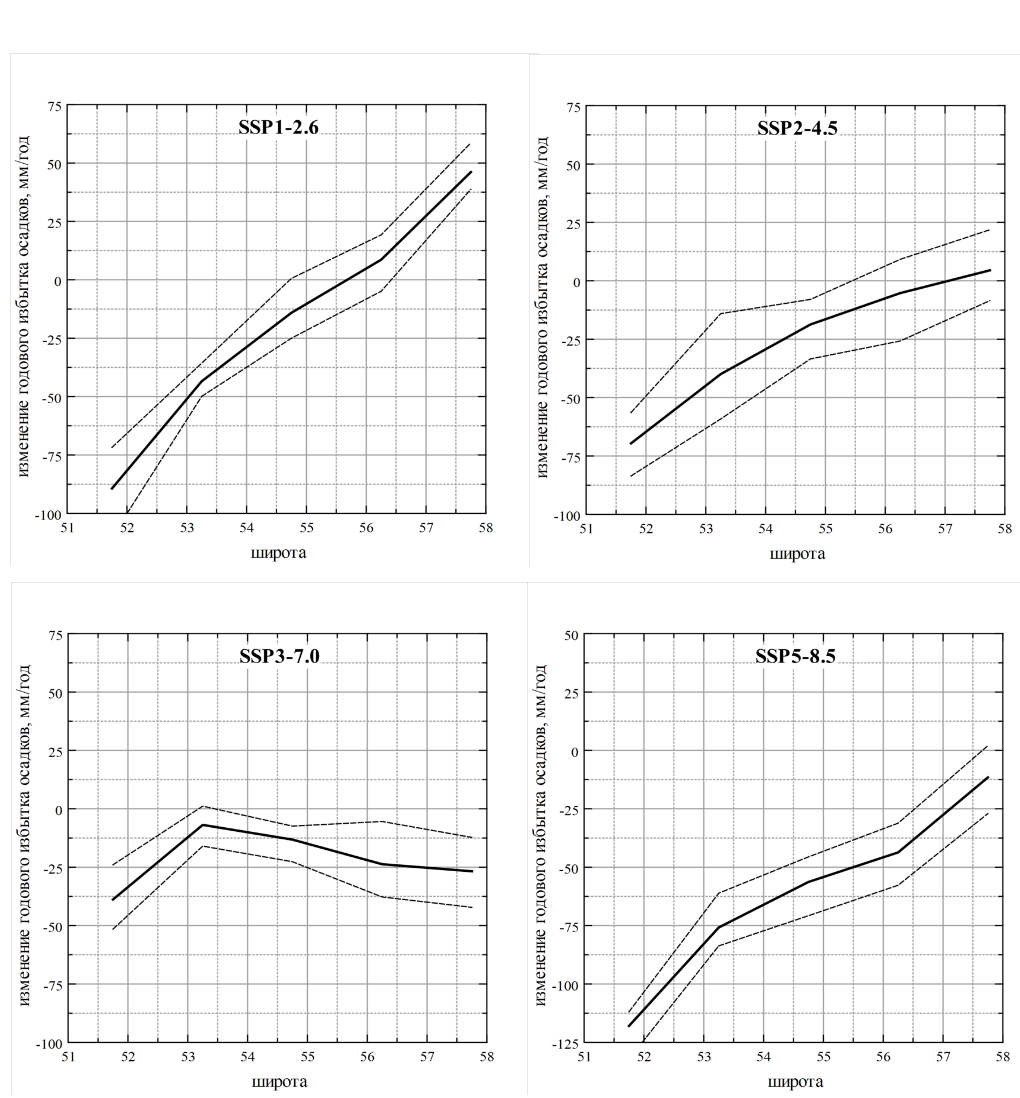
Применение комплекса программ для расчета переменных динамики влагооборота, разработанного в ходе исследования, для оценки воздействия изменений климата на влагообеспеченность территории Русской равнины показало, что подверженность неблагоприятному воздействию изменения климата, выражающемуся в снижении влагообеспеченности, уменьшается с юга на север (риснок 3.1), но в значительной степени предопределяется их способностью аккумулировать влагу, полученную в виде осадков в зимний период, и, следовательно, может варьировать в зависимости от уклона местности, механического состава почв, а также от других факторов, в число в которых входит, например, расстояние между снегозадерживающими лесополосами в случае агро-экосистем.

Рисунок 3.1 - Широтный ход разности между годовым слоем осадков и годовым слоем испаряемости в центральной части Русской равнины (сплошная линия показывает среднее значение для данной широты, разброс значений показан пунктирными линиями)
Так как факторы, предопределяющие подверженность отдельно взятой экосистемы неблагоприятным воздействиям засух, имеют выраженную пространственную изменчивость, подверженность экосистем, находящихся в примерно одинаковых климатических условиях, воздействию длительного и значительного снижения атмосферных осадков в летние месяцы относительно нормы может существенно различаться. Разработанный в ходе исследования способ оценки подверженности экосистем таким воздействиям позволяет выявить экосистемы, более подверженные неблагоприятным воздействиям засух, чем остальные, и, следовательно, нуждающиеся в более радикальных адаптационных мероприятиях. Снижение влагообеспеченности не во всех случаях приводит к снижению продуктивности лесных экосистем, расположенных в зоне избыточного увлажнения. Разработанная в ходе исследований имитационная модель цикла углерода в лесных экосистемах позволяет оценить уязвимость продуктивности лесных экосистем и запасов углерода к изменению климатических условий при различных сценариях изменения климата, а изменения продуктивности и запасов углерода, рассчитанные с помощью этой модели, позволяют ранжировать мероприятия, направленные на повышение климатической устойчивости поглощения углерода в лесных экосистемах, с учетом неопределенности прогностических оценок изменения климата. В условиях неопределенности прогностических оценок изменения климата осуществление адаптационных мероприятий, необходимых для обеспечения климатической устойчивости поглощения углерода лесными экосистемами, связано с риском дезадаптации - то есть, с риском осуществления мероприятий, которые вопреки ожиданиям могут, в конечном итоге, оказаться или неэффективными, или усилить уязвимость экосистем к изменению климата. Снижение риска дезадаптации является одной из целей ранжирования адаптационных мероприятий, но достижение этой цели не должно входить в конфликт с достижением другой, не менее важной цели - снижение риска несвоевременной адаптации. Для нахождения разумного баланса между достижением этих целей на уровне отдельной лесной экосистемы были разработаны методические рекомендации по формированию системы адаптационных мероприятий, необходимых для обеспечения климатической устойчивости поглощения углерода лесными экосистемами. В агро-экосистемах обеспечение климатической устойчивости поглощения углерода в условиях неопределенности прогностических оценок изменения климата связано с риском накопления запасов углерода в органическом веществе почвы, которые будет трудно сохранить в будущем, если глобальное потепление не прекратится. Чем больше запасы углерода в органическом веществе почвы, тем больше его потери при повышении интенсивности минерализации органического вещества почвы, связанном с потеплением климата, и тем больше должен быть прирост поступления органического вещества в почву, чтобы компенсировать эти потери. В агро-экосистемах, где агротехнологии, направленные на повышение запаса органического вещества в почве, не применялись или применялись, но не интенсивно, несложно компенсировать его потери из-за потепления климата, применяя эти агротехнологии, или повышая их интенсивность. Но в тех агро-экосистемах, где они применялись интенсивно, остается мало возможностей для повышения поступления органического вещества в почву. Поэтому интенсивность адаптационных мероприятий следует соизмерять с ожидаемым воздействием изменения климата на повышение интенсивности минерализации органического вещества почвы. Для решения этой задачи были разработаны методические рекомендации по формированию системы адаптационных мероприятий, необходимых для обеспечения климатической устойчивости поглощения углерода агро-экосистемами Русской равнины.


